


寧經理:18853131830,15553139909
李經理:18615581723
銷售一部:0531-88760590
銷售二部:0531-88786527
工廠地址: 濟南高新區孫村鎮大正路與世紀大道交叉口東50米
銷售地址:山東省濟南市高新區聯合財富廣場1號樓907
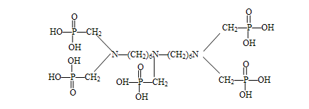
Bis(Hexamethylene Triamine Penta (Methylene Phosphonic Acid))BHMTPMPA
CAS No. 34690-00-1
別名:二己烯三胺五亞甲基膦酸、二亞已基三胺五亞甲基磷酸
分子式 C17H44O15N3P5 相對分子質量:685
結構式 
BHMTPMPA是高效的螯合型阻垢劑,對碳酸鹽垢和硫酸鹽垢具有良好的阻垢效果。BHMTPMPA在較寬的PH范圍和120℃高溫下有較好的水溶性和熱穩定性,對鈣離子容忍度高。BHMTPMPA用作油田水處理的緩蝕阻垢劑,工業循環冷卻水和鍋爐水的阻垢緩蝕劑。
項 目 | 指 標 |
GB/T 22591-2008 | |
外 觀 | 深琥珀色液體 |
活性組分/% | 45.0~50.0 |
亞磷酸(以PO33-計)/% | ≤3.5 |
氯化物(以Cl-計)/% | ≤6.0 |
pH(1%水溶液) | ≤2.0 |
密度(20℃) /g·cm-3 | ≥1.20 |
Fe含量(以Fe計) /mg·L-1 | ≤35.0 |
單獨使用或與聚羧酸型阻垢分散劑配合使用。
BHMTPMPA用塑料桶包裝,每桶25kg或根據用戶需要確定。BHMTPMPA貯于室內陰涼處,貯存期為十二個月。
BHMTPMPA為酸性,操作時注意勞動保護,應避免與皮膚、眼睛等接觸,接觸后用大量清水沖洗。
致力于優化每個水處理項目,打造中國環保行業品牌企業
保護環境是我們每個人的責任和義務